Skip to content Skip to sidebar Skip to footer

How Long Is 1 Meters In Feet : To convert 1 meters into feet we have to multiply 1 by the conversion factor in order to get the length amount from meters to feet.

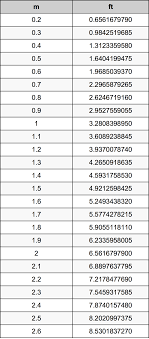
How Long Is 1 Meters In Feet : To convert 1 meters into feet we have to multiply 1 by the conversion factor in order to get the length amount from meters to feet.. Topics related to how long is a meter. 1 meter = 3.280839895 feet. We can say that one feet is approximately zero point three zero five meters: Meters (m) feet (ft) + inches (in) 0 m. Please visit all length units conversion to convert all length units.

Foot is the singular unit for feet. Meter (metre) is a metric system base length unit. 1 meter is equal to 3.28084 feet: For practical purposes we can round our final result to an approximate numerical value. Accuracy is up to 5 decimal places for meters to feet and to the nearest 16th of an inch for meters to feet and inches.

How To Convert Pixel Values Of A Raster From Meters To Feet And From Feet To Meters
How To Convert Pixel Values Of A Raster From Meters To Feet And From Feet To Meters from s3-us-west-2.amazonaws.com
Topics related to how long is a meter. How to convert meters to feet. Meters (m) feet (ft) + inches (in) 0 m. For practical purposes we can round our final result to an approximate numerical value. See full list on calculateme.com 1 meter = 3.280839895 feet. 1 meter is equal to 3.28084 feet: In this case 1 meter is equal to 3.2808398950131 × 1 feet.

The relation between meters and yards is, 1 m = 1.094 yd.

In this case 1 meter is equal to 3.2808398950131 × 1 feet. Please visit all length units conversion to convert all length units. Meter (metre) is a metric system base length unit. How to convert meters to feet. 1 meter is equal to 3 feet and 3.3700787 inches. 3 meters to feet is 9.84252 ft = 9 ft, 10 1/8 in. We can also form a simple proportion to calculate the result: 1 ft ≅ 0.305 m See full list on rapidtables.com 1 m = 3.2808398950131 ft. 1 meter is equal to 3.28084 feet: Accuracy is up to 5 decimal places for meters to feet and to the nearest 16th of an inch for meters to feet and inches. Jun 29, 2011 · this script will calculate the length of one degree of both latitude and longitude, for a specific latitude.

See full list on rapidtables.com Another way is saying that 1 feet is equal to 1 ÷ 3.2808398950131 meters. See full list on calculateme.com Please visit all length units conversion to convert all length units. 3 meters to feet is 9.84252 ft = 9 ft, 10 1/8 in.

4 Ways To Convert Meters To Feet Wikihow
4 Ways To Convert Meters To Feet Wikihow from www.wikihow.com
1 m = 3.2808398950131 ft. Meters (m) feet (ft) + inches (in) 0 m. Jun 29, 2011 · this script will calculate the length of one degree of both latitude and longitude, for a specific latitude. Yard is the uscs unit abbreviated as yd. It is abbreviated as ft. 1 m = (1/0.3048) ft. Accuracy is up to 5 decimal places for meters to feet and to the nearest 16th of an inch for meters to feet and inches. To convert 1 meters into feet we have to multiply 1 by the conversion factor in order to get the length amount from meters to feet.

How to convert meters to feet.

1 meter is equal to 3 feet and 3.3700787 inches. Meter (metre) is a metric system base length unit. Yard is the uscs unit abbreviated as yd. The relation between meters and yards is, 1 m = 1.094 yd. In this case 1 meter is equal to 3.2808398950131 × 1 feet. To convert 1 meters into feet we have to multiply 1 by the conversion factor in order to get the length amount from meters to feet. 1 meter to feet is 3.28084 ft = 3 ft, 3 3/8 in. Lengths for both are calculated in nautical miles, statute miles, feet, and meters. Accuracy is up to 5 decimal places for meters to feet and to the nearest 16th of an inch for meters to feet and inches. 1 meter = 3.2808399 feet How to convert meters to feet. 3 meters to feet is 9.84252 ft = 9 ft, 10 1/8 in. Please visit all length units conversion to convert all length units.

We can also form a simple proportion to calculate the result: Please visit all length units conversion to convert all length units. To convert 1 meters into feet we have to multiply 1 by the conversion factor in order to get the length amount from meters to feet. 2 meters to feet is 6.56168 ft = 6 ft, 6 3/4 in. 1 m = (1/0.3048) ft.

Openstax College Physics Solution Chapter 1 Problem 4 Problems Exercises Openstax College Physics Answers
Openstax College Physics Solution Chapter 1 Problem 4 Problems Exercises Openstax College Physics Answers from video-thumbs.collegephysicsanswers.com
Please visit all length units conversion to convert all length units. 1 m = (1/0.3048) ft. We can say that one feet is approximately zero point three zero five meters: In this case 1 meter is equal to 3.2808398950131 × 1 feet. The relation between meters and yards is, 1 m = 1.094 yd. 2 meters to feet is 6.56168 ft = 6 ft, 6 3/4 in. 1 meter is equal to 3 feet and 3.3700787 inches. 1 meter to feet is 3.28084 ft = 3 ft, 3 3/8 in.

The relation between meters and yards is, 1 m = 1.094 yd.

1 meter = 3.2808399 feet 1 meter to feet is 3.28084 ft = 3 ft, 3 3/8 in. 3 meters to feet is 9.84252 ft = 9 ft, 10 1/8 in. We can say that one feet is approximately zero point three zero five meters: We can also form a simple proportion to calculate the result: Foot is the singular unit for feet. Meter (metre) is a metric system base length unit. Meters (m) feet (ft) + inches (in) 0 m. 1 m = (1/0.3048) ft. 1 meter is equal to 3.28084 feet: In this case 1 meter is equal to 3.2808398950131 × 1 feet. For practical purposes we can round our final result to an approximate numerical value. 1 meter = 3.280839895 feet.